Сбор данных Rigol M302/коммутационная система +


Поделиться:


Цена:*

Количество:



Описание и отзывы


Трекер стоимости

Месяц Минимальная цена Макс. стоимость
Sep-20-2025 0.22 $* 0.19 $*
Aug-20-2025 0.62 $* 0.77 $*
Jul-20-2025 0.45 $* 0.44 $*
Jun-20-2025 0.67 $* 0.10 $*
May-20-2025 0.28 $* 0.35 $*
Apr-20-2025 0.18 $* 0.87 $*
Mar-20-2025 0.55 $* 0.50 $*
Feb-20-2025 0.13 $* 0.57 $*
Jan-20-2025 0.85 $* 0.65 $*

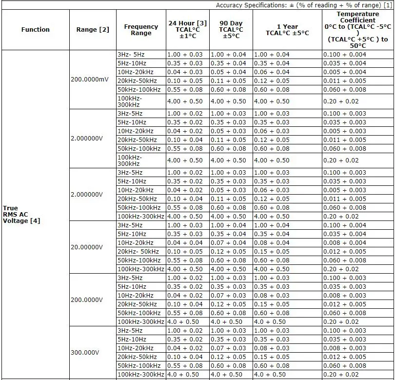
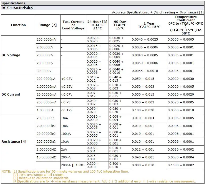
Характеристики


Rigol M300 Data Acquisition Switch System
M300 Series Data Acquisition/Switch System with modular structure, which combines precision measurement capability with flexible signal connections, can provide versatile solutions for the applications with multiple points or signals to be tested in product performance test during R&D phase as well as automatic test during production process.

 

Features:

  • Data Acquisition Mainframe with DMM Module, 20 channel MUX module, and M3TB20 terminal blockUp to 320 switch channels per mainframe

  • Integrated DMM scanning of up to 256 channels

  • Interval scanning with storage of up to 100,000 time-stamped readings

  • 8 different available modules including the MC3065 6.5 DMM module and MC3120 MUX module (these modules are included in the mainframe model M302)

  • Terminal blocks available for each module (a M3TB20 terminal block is included in mainframe model M302)

  • 4.3' LCD Display with intuitive GUI for front panel configuration without a PC

  • UltraAcquire data acquisition PC software for power users

  • Connect via USB, GPIB, LAN (LXI-C), or RS-232

  • Store configurations or log readings to a USB memory stick automatically

 

M300 Series Data Acquisition/Switch System

 

20190904_103107_011.jpg20190904_103107_012.jpg20190904_103107_013.jpg20190904_103107_014.jpg20190904_103107_015.jpg20190904_103107_016.jpg20190904_103107_017.jpg20190904_103107_018.jpg20190904_103107_019.jpg20190904_103107_020.jpg20190904_103107_021.jpg20190904_103107_022.jpg20190904_103107_023.jpg20190904_103107_024.jpg


Данные ресурс не является интернет-магазином, а лишь содержит ссылки на международную торговую площадку Alibaba.com